google analytics 4

Ciência de Dados: Aplicações e Impactos no Mundo Atual

A ciência de dados se tornou um campo fundamental na análise de informações em várias indústrias. Com a crescente quantidade de dados gerados a cada segundo (big data), a capacidade de coletar, processar e interpretar esses dados tornou-se crucial para a tomada de decisões informadas. Esta transformação é impulsionada pela convergência de várias disciplinas, incluindo estatística, aprendizado de máquina e análise preditiva, que juntas oferecem uma visão abrangente e detalhada das tendências e comportamentos.

A importância da análise de dados não pode ser subestimada. Em um mundo onde as informações são abundantes, a habilidade de extrair insights significativos a partir delas é o que diferencia empresas e organizações bem-sucedidas de suas concorrentes.

A ciência de dados não apenas proporciona uma compreensão mais profunda do mercado, mas também ajuda a moldar estratégias que podem levar a um desempenho superior.

Análise de Dados e Estudos sobre o Consumidor

Técnicas de Análise de Dados em Marketing

No campo do marketing, a análise de dados é utilizada para compreender o comportamento do consumidor e otimizar campanhas. Técnicas como análise de cluster, segmentação de mercado e modelagem preditiva são frequentemente empregadas para identificar padrões de compra e prever tendências futuras. Ferramentas como Google Analytics e software de CRM (Customer Relationship Management) ajudam os profissionais a capturar e analisar dados de diversas fontes, permitindo uma abordagem mais direcionada na execução de campanhas de marketing.

A personalização tornou-se um dos principais objetivos do marketing digital, e a ciência de dados desempenha um papel vital nesse processo. Com dados de clientes, empresas podem criar experiências personalizadas, aumentando a satisfação e a lealdade do consumidor. A capacidade de responder rapidamente às preferências dos consumidores é um diferencial competitivo que pode resultar em um aumento significativo na receita.

Compreensão do Comportamento do Consumidor

Compreender o comportamento do consumidor é essencial para qualquer estratégia de negócios bem-sucedida. A análise de dados permite que as empresas identifiquem fatores que influenciam as decisões de compra, como preço, qualidade e reputação da marca. Isso é feito através de técnicas analíticas que avaliam feedback de clientes, revisões de produtos e interações em redes sociais.

Através da modelagem preditiva, em modelos desenvolvidos em Python ou R, as empresas podem prever como mudanças em variáveis específicas podem afetar os comportamentos dos consumidores. Essa análise não apenas orienta as decisões de marketing, mas também informa o desenvolvimento de produtos e a gestão de estoques, garantindo que as empresas se mantenham à frente das expectativas do mercado.

análise preditiva de um e-commerce
Análise Preditiva para um e-commerce – o gráfico apresenta previsões para o final de 2025 e todo o ano de 2026.

Análise de Concorrentes

Uso de Dados para Análise de Mercado

A análise de concorrentes é uma prática crítica em que as empresas avaliam as forças e fraquezas de seus rivais. A ciência de dados fornece ferramentas e técnicas que ajudam a compilar e analisar informações sobre concorrentes, como participação no mercado, estratégias de preços e ofertas de produtos. Isso permite que as empresas avaliem onde estão posicionadas em relação à concorrência e identifiquem oportunidades de diferenciação.

Ferramentas de coleta de dados, como web scraping e análise de dados de mídia social, são frequentemente utilizadas para obter insights sobre o desempenho dos concorrentes. Essas informações podem ser transformadas em relatórios detalhados que ajudam a moldar a estratégia empresarial. A análise de mercado baseada em dados não só aumenta a compreensão do ambiente competitivo, mas também orienta as decisões estratégicas para melhorar a posição da empresa no mercado.

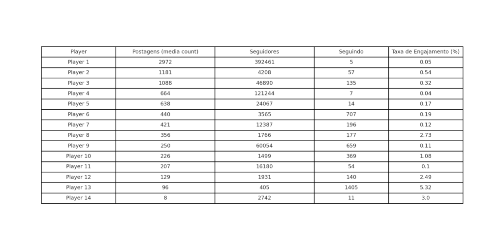
dados de concorrentes na rede social
Dados de Instagram de alguns Players de mercado, que concorrem entre si. Com esses dados é possível realizar análises, comparativos, entre outras ações.

Desenvolvimento de Estratégias Competitivas

Com base nas informações obtidas através da análise de mercado, as empresas podem desenvolver estratégias competitivas mais eficazes. Isso inclui o ajuste de preços, a melhoria do atendimento ao cliente e a inovação de produtos. A ciência de dados permite que os analistas e gestores simulem cenários diferentes e avaliem o impacto potencial de suas decisões, tornando o planejamento estratégico mais robusto e baseado em evidências.

Além disso, a análise preditiva pode ajudar as empresas a antecipar movimentos do concorrente e ajustar suas estratégias em tempo real. Ao prever comportamentos futuros, as organizações podem se preparar melhor para mudanças no mercado, garantindo que suas ofertas permaneçam relevantes e competitivas.

Essa, na minha opinião, é uma das principais vantagens, pois permite um planejamento alinhado ao que está acontecendo no mercado. No entanto, é fundamental compreender a importância de analisar esses dados em conjunto com informações do macro e do microambiente. Foi por isso que desenvolvi o FADWeb: para que a ciência de dados da Web possa ser integrada a dados da macroeconomia, oferecendo uma visão mais estratégica e contextualizada.

fluxo de análise de dados da web
Framework para Análise de Dados da Web: todas as etapas importantes no processo de análise de dados, onde a ciência de dados pode contribuir com informações.

⚡ Análise Profunda com FADWeb

Descubra como usar a IA customizada para análise de dados. Metodologia estruturada + recomendações.

🚀 Saiba Como Funciona

Dados na Medicina

Análise de Dados em Pesquisas Médicas

A medicina moderna é fortemente apoiada pela análise de dados. Em pesquisas médicas, a coleta e a análise de grandes volumes de dados clínicos e genômicos estão revolucionando a forma como tratamos doenças e entendemos a saúde humana. A ciência de dados permite que os pesquisadores identifiquem correlações em dados que podem não ser visíveis a olho nu, levando a descobertas importantes na prevenção e no tratamento de doenças.

Além disso, a análise de dados em ensaios clínicos ajuda a otimizar o design dos estudos, melhorando a eficiência e a eficácia dos processos de pesquisa. Ao utilizar técnicas estatísticas, os pesquisadores podem garantir que os resultados sejam válidos e aplicáveis a uma população maior.

Impacto na Saúde Pública

A análise de dados desempenha um papel crucial na saúde pública, especialmente em tempos de pandemias e surtos de doenças. O rastreamento de dados epidemiológicos permite que as autoridades de saúde identifiquem padrões de propagação, ajudando na implementação de estratégias de contenção eficazes. Modelos preditivos podem ser usados para estimar o número de casos futuros e orientar decisões sobre recursos e intervenções de saúde pública.

Além disso, a análise de dados históricos ajuda a identificar fatores de risco e a desenvolver campanhas de conscientização e prevenção. O uso de dados em saúde pública não apenas melhora a resposta a crises, mas também contribui para um entendimento mais profundo das necessidades de saúde da população.

Um excelente exemplo da aplicação da ciência de dados em alta complexidade foi na pandemia do COVID‑19. Nesse contexto, diversos pesquisadores utilizaram técnicas como médias móveis, regressão linear, modelos SIR/SEIR e aprendizado de máquina para prever o crescimento de casos, internações e óbitos.

Modelos como os do IHME (Institute for Health Metrics and Evaluation) e simulações baseadas em dados da Johns Hopkins University foram amplamente usados por governos e instituições para orientar políticas públicas e programas de contenção, além da alocação de recursos em saúde pública.

análise preditiva para o COVID19
Estudo com estimativas de infectados por dia – fonte: https://covid19.healthdata.org/global?view=infections-testing&tab=trend&test=infections

Dados na Biologia

Estudos Genômicos e Análise de Dados

A biologia está cada vez mais integrada à ciência de dados, especialmente no campo dos estudos genômicos. A análise de grandes conjuntos de dados genômicos permite que os cientistas identifiquem variações genéticas associadas a doenças, contribuindo para o desenvolvimento de terapias personalizadas. A bioinformática, uma subdisciplina da biologia que utiliza ferramentas computacionais para analisar dados biológicos, é fundamental para o avanço nesse campo.

Através de algoritmos de aprendizado de máquina, os pesquisadores podem analisar sequências de DNA e prever como certas mutações podem afetar a saúde. Esses estudos não só avançam nosso conhecimento sobre genética, mas também abrem novas possibilidades para tratamentos inovadores e intervenções médicas.

Biologia Computacional

A biologia computacional é uma área que combina biologia, informática e matemática para entender melhor os sistemas biológicos. A análise de dados desempenha um papel central na modelagem de processos biológicos complexos, como a interação entre proteínas e a dinâmica celular. Isso permite que os cientistas realizem simulações que podem prever como as células respondem a diferentes condições ambientais ou tratamentos.

Além disso, a biologia computacional é fundamental para a análise de dados provenientes de experimentos de grande escala, como sequenciamento de genoma e proteômica. Esses dados massivos exigem ferramentas analíticas avançadas para serem interpretados, e a ciência de dados fornece as metodologias necessárias para extrair insights significativos, contribuindo para a pesquisa biomédica e o desenvolvimento de novas terapias.

Dados na Indústria

Otimização de Processos Industriais

No setor industrial, a ciência de dados é utilizada para otimizar processos e aumentar a eficiência operacional. A análise de dados em tempo real permite que as empresas monitorem a produção, identifiquem gargalos e implementem melhorias. Ferramentas de análise preditiva ajudam a prever falhas em máquinas e equipamentos, permitindo a manutenção preditiva e reduzindo o tempo de inatividade.

A utilização de dados também possibilita a análise de cadeia de suprimentos, ajudando as empresas a gerenciar estoques mais eficientemente e a minimizar desperdícios. Através da análise de dados, é possível entender melhor a demanda do mercado e ajustar a produção de acordo, garantindo que os produtos certos estejam disponíveis no momento certo.

Preditividade e Manutenção Baseada em Dados

A manutenção baseada em dados é uma abordagem que utiliza análises preditivas para determinar quando e como os equipamentos devem ser mantidos. Isso não só economiza tempo e recursos, mas também aumenta a vida útil dos ativos. Ao coletar dados de sensores e dispositivos IoT (Internet das Coisas), as empresas podem obter uma visão detalhada do desempenho de suas máquinas e identificar padrões que indicam quando a manutenção é necessária.

Essa abordagem não apenas melhora a eficiência operacional, mas também reduz custos associados a falhas inesperadas. Com a análise contínua de dados, as empresas podem manter uma operação mais suave e eficiente, aumentando a competitividade no mercado.

Dados na Educação

Análise de Dados Educacionais

A ciência de dados tem um papel crescente na educação, onde a análise de dados educacionais pode impactar diretamente a experiência de aprendizagem. Instituições de ensino utilizam a análise de dados para monitorar o desempenho acadêmico dos alunos, identificar áreas de dificuldade e personalizar o ensino. A coleta de dados de avaliações, participação em sala de aula e atividades extracurriculares fornece uma visão abrangente do progresso dos alunos.

Ao utilizar essas informações, educadores podem adaptar suas abordagens de ensino e desenvolver intervenções direcionadas que atendam às necessidades individuais dos alunos. Isso não apenas melhora as taxas de sucesso, mas também aumenta o engajamento e a motivação dos alunos.

Melhorias no Ensino e Aprendizado

A análise de dados também permite que as instituições melhorem seus currículos e métodos de ensino. Através da análise de feedback de alunos e resultados de testes, as escolas podem entender quais métodos são mais eficazes e quais precisam ser aprimorados. Isso leva a um ciclo contínuo de melhoria, onde a educação se torna mais adaptável e eficaz.

Além disso, a análise de dados pode ajudar a prever quais alunos estão em risco de evasão, permitindo que as instituições intervenham antes que seja tarde demais. Ao abordar as necessidades dos alunos de forma proativa, as instituições podem aumentar as taxas de retenção e garantir que mais alunos completem suas formações com sucesso.

Conclusão

O Futuro da Ciência de Dados

À medida que avançamos para o futuro, a ciência de dados continuará a desempenhar um papel central em diversas indústrias. A capacidade de analisar grandes volumes de dados e extrair insights significativos será fundamental para a inovação e a competitividade. Com o aumento das tecnologias de inteligência artificial e aprendizado de máquina, as possibilidades de aplicação da ciência de dados são quase infinitas.

No entanto, os profissionais da área enfrentam desafios significativos, incluindo questões relacionadas à privacidade dos dados e à ética na análise. À medida que o campo evolui, é imperativo que os profissionais abordem esses desafios com a mesma inovação e determinação que trazem para suas análises.

Desafios e Oportunidades no Uso de Dados

O uso de dados apresenta tanto desafios quanto oportunidades. Enquanto as empresas buscam capitalizar sobre as informações que possuem, elas devem estar cientes da importância da privacidade e da segurança dos dados. A implementação de políticas robustas de governança de dados será essencial para garantir que as informações sejam utilizadas de maneira ética e responsável.

Além disso, com a crescente demanda por profissionais qualificados em ciência de dados, há uma oportunidade significativa para estudantes e profissionais em transição de carreira. Investir em educação e formação na área pode abrir portas para novas perspectivas e inovações em diversas indústrias.

FAQ

O que é ciência de dados?

A ciência de dados é um campo interdisciplinar que utiliza técnicas estatísticas, algoritmos de aprendizado de máquina e análise de dados para extrair insights significativos a partir de grandes volumes de dados.

Quais são as aplicações da ciência de dados?

A ciência de dados tem aplicações em diversas áreas, incluindo marketing, saúde, biologia, indústria e educação. Ela ajuda a otimizar processos, entender comportamentos e melhorar tomadas de decisão.

Como a ciência de dados impacta o marketing?

No marketing, a ciência de dados é utilizada para segmentação de mercado, personalização de campanhas e análise do comportamento do consumidor, permitindo uma abordagem mais direcionada e eficaz.

O que se estuda em ciencia de dados?

Em ciência de dados estuda-se todo o ciclo de transformação de dados em conhecimento acionável, começando pela compreensão de problemas de negócio, passando por estatística descritiva e inferencial, programação (principalmente Python e R), manipulação e limpeza de dados, modelagem preditiva e prescritiva, machine learning, bancos de dados SQL e NoSQL, visualização e comunicação de resultados, além de temas de engenharia como pipelines, ETL, automações, boas práticas de governança e ética no uso de dados; no fundo, é uma área que integra matemática, tecnologia e visão estratégica para gerar decisões melhores e mais inteligentes.

O que diferencia a ciência de dados da estatística tradicional?

A ciência de dados se diferencia da estatística tradicional principalmente pela integração entre análise estatística, programação e engenharia de dados para resolver problemas complexos em grande escala, enquanto a estatística clássica se concentra mais em métodos matemáticos e inferenciais; na prática, o cientista de dados não apenas aplica modelos, mas coleta, trata, armazena, automatiza, implementa e monitora soluções baseadas em dados, lidando com volumes massivos, múltiplas fontes, machine learning e comunicação executiva, enquanto a estatística fornece a base conceitual que sustenta essas análises.

Onde um cientista de dados pode trabalhar?

Um cientista de dados pode trabalhar praticamente em qualquer setor que gere ou dependa de dados, atuando em empresas de tecnologia, e-commerce, marketing digital, bancos, seguradoras, varejo, saúde, educação, indústrias, consultorias, startups e órgãos públicos, realizando desde análises exploratórias, previsões e otimizações até construção de modelos, automações e dashboards, sempre ajudando áreas de negócio a tomarem decisões melhores com base em evidências.

Continue estudando Ciência de Dados